• Inicio
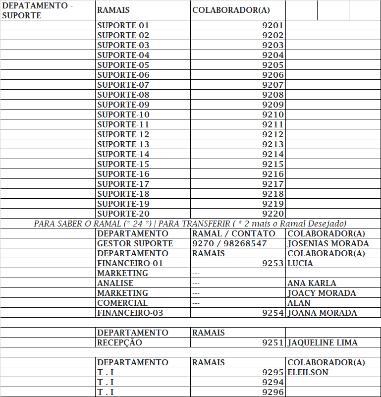
  • Ramais
  • AnyDesk
    • Anydesk Sem Block
    • Anydesk
  • Pesquisa de Configuracao
  • Inicio
  • Ramais
  • AnyDesk
    • Anydesk Sem Block
    • Anydesk
  • Pesquisa de Configuracao